
有機酸、無機酸等の耐薬品性に優れる無溶剤型エポキシライニング材「スカイレジンFE−2000」・「FE−3000」 を融合した複合防水工法です。
排水槽・厨房排水槽・汚水槽・下水槽・中水槽・雑排水槽などに使用されるのはコンクリートが大半ですが、このコンクリートは意外と薬品などには脆いものであることは以前から機会がある毎にお伝えしてきました。
下水施設などでは、嫌気(酸素が少ない状況)状態において、下水に含まれている硫酸塩が「硫化水素」を生成してしまいコンクリートを腐食させてしまいます。
水槽類は概ね地下にあることが多く、躯体コンクリートが腐食し崩壊してしまうと水槽が機能しなくなることはもちろん、もし水槽上に建物施設があったり、道路などがあれば沈下による二次災害を招きかねません。
実際、コンクリート劣化により下水管が崩壊して道路が陥没してしまう事例が、年間で100件以上あるそうです。
防食でコンクリートを守る
水槽内のコンクリートを保護する為に「防食ライニング塗装」をおこないます。下水道施設関連では、日本下水道事業団の防食技術マニュアルというものが策定されており、用途によって4種のグレードが設定されています。
大日化成ではそれぞれのグレードに対応した塗布型ライニング工法(スカイレジンファインエポシステム)とポリマーセメント系塗膜防水材「ビッグサン」とを組み合わせ、防水機能と防食機能を兼ね備えた、防食防水工法をご提供しております。
日本下水道事業団規格 A種程度 ⇒ GR-A工法
日本下水道事業団規格 B種程度 ⇒ GR-B工法
日本下水道事業団規格 C種程度 ⇒ GR-C工法
日本下水道事業団規格 D種程度 ⇒ GR-D工法
もちろん大日化成製品ですので、防水材料は「水系材料」、防食材料は「無溶剤型」となり、嫌な臭気がほとんど発生しません。
このような用途では耐薬品性に優れており強靱でもあるFRPライニングが多用されてきましたが、コストの面からも作業性の問題からも、塗膜防水も並行して行われてきています。
なによりFRPは有機溶剤ですので、閉鎖空間である水槽内で作業を行うには非常に危険が伴います。
その点、水系のビッグサンでは有機溶剤は使いませんので、その心配はありません。もっとも閉鎖空間ですので酸欠などの対策は行わなければなりません。
作業性においても塗り重ねになるので、FRPのようにグラスウールを貼るというような事も必要ありませんので、作業性もバツグンです。
ビッグサン防食防水工法は耐有機酸対応工法
「ビッグサン防食防水工法」は、柔軟性に優れる 「ビッグサンGR工法」と、有機酸、無機酸等の耐薬品性に優れる無溶剤型エポキシライニング材「スカイレジンFE−2000」・「FE−3000」 を融合した複合防水工法です。
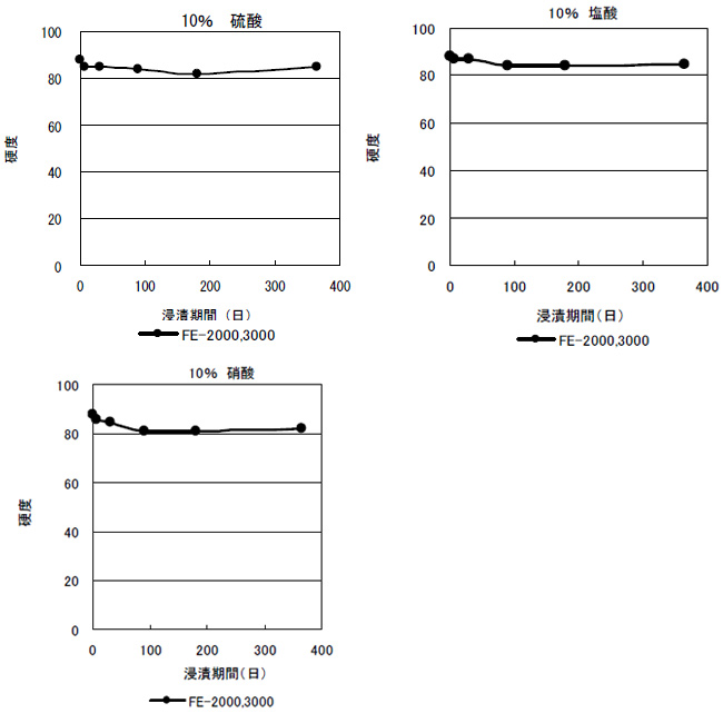
では、どのくらい耐性があるのか実験した結果をおつたえいたします。
単一の各薬品に1年間試験体を浸漬させ、重量変化率・硬度をしらべたものになります。
あくまでも単一薬品ですので、実際に下水処理施設などに発生しているものとは違う事はご承知おき下さい。
スカイレジンFE−2000
スカイレジンFE−3000
それぞれの混合品を直径45φ×4.5mm の型に注型し、23℃恒温室内にて2 週間養生を行ったも
のを試験体として用いました。
・酸溶液への耐性:各薬品の濃度10%水溶液に浸漬
・アルカリ溶液への耐性:各薬品の希釈水溶液に浸漬(濃度は薬品による)
900cc ガラス瓶に各薬品を700g 入れたものに各試験体を浸漬し、23℃恒温室内にて所定の期間保存
1年間浸漬後の外観、硬度、および重量変化による判定。
○:耐性を有する。
△:耐性を有しない可能性がある。
×:明らかに耐性を有しない。
浸漬薬品 |
無機酸 |
有機酸 |
アルカリ |
|||||||
ライニング材 |
硫酸 |
塩酸 |
硝酸 |
ギ酸 |
酢酸 |
酪酸 |
プロピオン酸 |
クエン酸 |
苛性 |
次亜塩素酸 |
FE-2000 |
○ |
○ |
△ |
○ |
○ |
○ |
○ |
○ |
△ |
△ |
FE-3000 |
○ |
○ |
△ |
○ |
○ |
○ |
○ |
○ |
△ |
△ |
重量変化率
浸透すれば試験片に薬液がしみ込むため重量が増えることから、浸透度合いを確認するもの。
◆無機酸

◆有機酸

◆アルカリ

◆無機酸

◆有機酸

◆アルカリ

結果として
無機酸・有機酸に関しては概ね浸透はなく、耐性を有する結果となっています。
ただし、薬液の特性上表面の艶がひけてしまったり、白化してしまうものも有りますが、一般的な下水施設などで発生するような、硫化水素などには充分耐えることが可能です。
とはいえ、永続的に機能を維持できるものではありませんので、定期的な改修を計画して実施していくことは必須です。
そういう検知からもFRP工法を維持するよりも、塗布タイプのものを選定すれば、改修にも大きな手間は掛からず、使用停止期間も最大限短く済み、ひいては、工費も安くあがるため、最適な工法であるものと思います。
特長をまとめると
経費も安く、作業者にも安全。
ビッグサン防食防水工法・GRシリーズを是非ともご活用下さい。
ビッグサン防水防食工法はコチラです
↓ ↓ ↓ ↓ ↓
https://www.dainichikasei.co.jp/product/bigsun_epo/
ぜひ一度、弊社営業部までお問い合わせ下さい。